中学数学 平方根 「平方根のかけ算」

動画
考え方
.

文字式を意識しながら解いてみよう。
整数と平方根

文字式の計算と同じであることが実感できたでしょうか?
練習問題

以下は解答になります。
ゆっくりスクロールしてね。
解答


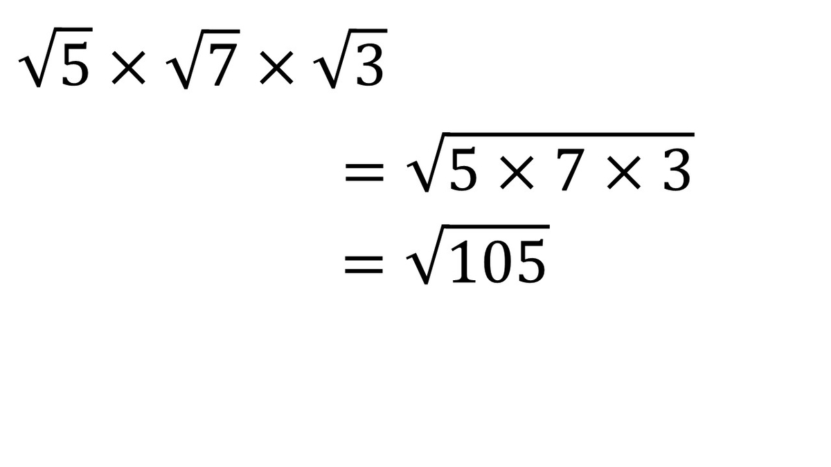
平方根と平方根
.

練習問題

解答


2問目が難しい場合は、
前の2こずつから計算してみましょう。


忘れないように!!
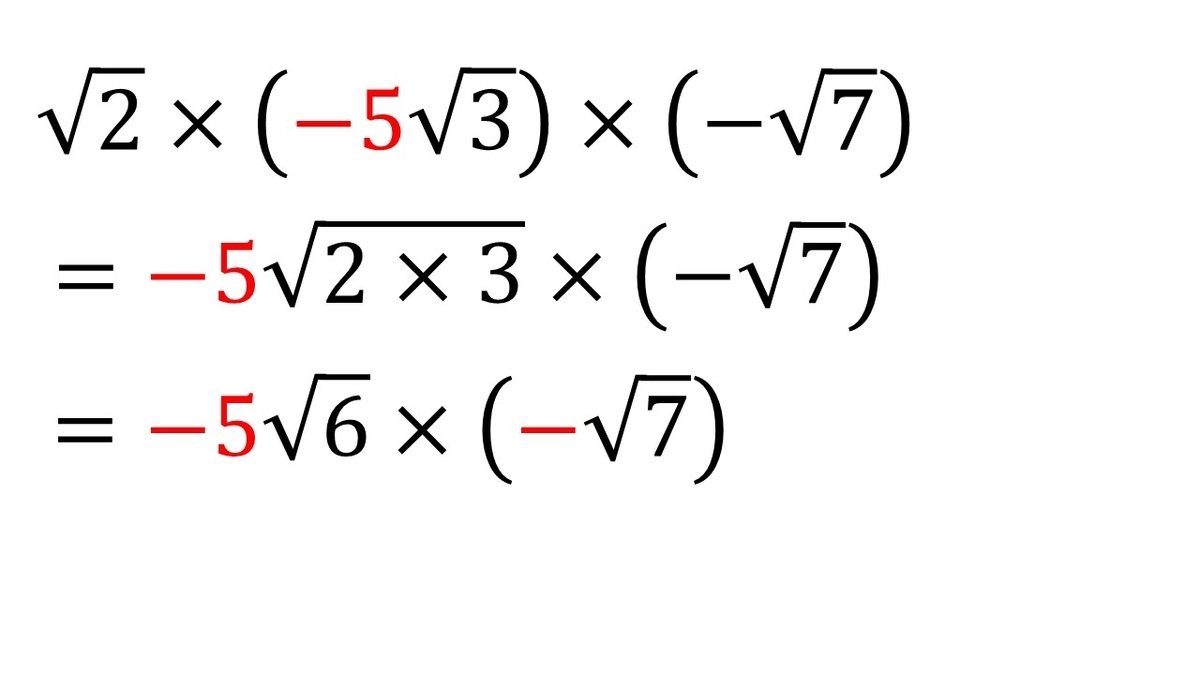
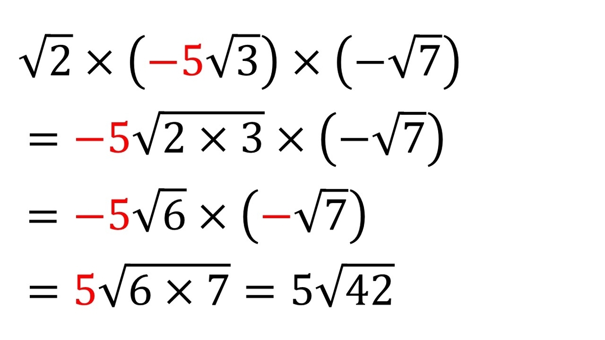
混合問題

練習問題

解答



一回でしなくても
前から順番にしてもOK!(^^)!


まとめ

文字式を意識しながら考えると、楽勝だったかな?
ちなミニコーナー
※詳しい内容は動画でどうぞ



このとき理解が深まるわけです。

さようなら